题目内容

如图是边长为为正方形的对角线,将绕直线旋转一周后形成的几何体的体积等于              .

 

 

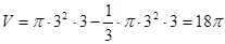
【答案】

【解析】

试题分析:对角线绕着旋转,形成圆锥的侧面;边绕着形成圆面;边绕着旋转,形成圆柱的侧面,∴该几何体是由圆柱挖去一个同底面的圆锥,∴.

 

考点:1、旋转体;2、简单组合体的体积.

 

练习册系列答案
相关题目

违法和不良信息举报电话:027-86699610 举报邮箱:58377363@163.com

精英家教网