题目内容

已知为等差数列,且.

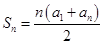
(Ⅰ)求数列的通项公式及其前项和

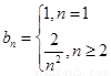
(Ⅱ)若数列满足求数列的通项公式.

 

【答案】

(Ⅰ)  ;(Ⅱ) .

【解析】

试题分析:(Ⅰ)先设出等差数列的首项和公差,然后代入式子:,列方程组求出首项和公差,再根据等差数列的通项公式:以及前项和公式:求解;(Ⅱ)由式子,取得到:,两式相减得,,结合(Ⅰ)的结果化简整理得,①,然后求出的值,代入①验证,要是不符合那么就把通项写成分段函数的形式,要是符合就合二为一写成一个式子.

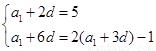
试题解析:(Ⅰ)设等差数列的首项和公差分别为

,解得.           2分

,                       4分

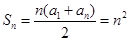
                             6分

(Ⅱ)①,

②,              7分

① ②得,                    8分

,                                 10分

,                                        11分

.                                  12分

考点:1.等差数列的通项公式;2.等差数列的前项和;3.数列的递推公式

 

练习册系列答案
相关题目

违法和不良信息举报电话:027-86699610 举报邮箱:58377363@163.com

精英家教网