题目内容
设集合A={1,a,b},B={a,a2,ab},且A=B,求a2008+b2007.
【答案】分析:利用集合相等来判断,因为A,B两个集合中都有a,所以通过讨论,1,b与a2,ab的关系,求出a,b的数值.
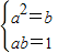
解答:解:法1:∵A=B,∴
或
解方程组得,
或
或a=1,b为任意实数.
由集合元素的互异性得a≠1,
∴a=-1,b=0,故a2008+b2007=1.
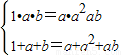
法2:由A=B,可得
,
即
因为集合中的元素互异,所以a≠0,a≠1.
解方程组得,a=-1,b=0.故a2008+b2007=1.
点评:本题主要考查的集合相等的应用,通过集合相等建立两个集合元素之间的关系,但有注意求解出集合之后,要利用元素的互异性进行检验,防止出错.
解答:解:法1:∵A=B,∴
解方程组得,
由集合元素的互异性得a≠1,
∴a=-1,b=0,故a2008+b2007=1.
法2:由A=B,可得
即
因为集合中的元素互异,所以a≠0,a≠1.
解方程组得,a=-1,b=0.故a2008+b2007=1.
点评:本题主要考查的集合相等的应用,通过集合相等建立两个集合元素之间的关系,但有注意求解出集合之后,要利用元素的互异性进行检验,防止出错.
练习册系列答案
相关题目