题目内容
已知(z-2)i=1+i(i为虚数单位),则|z|= .
【答案】分析:根据所给的复数的等式,要表示出复数z,则两边同除以i,再把常数2移项,注意进行复数的除法运算,求出z以后用求模长的公式得到结果.
解答:解:∵复数z满足(z-2)i=1+i(i为虚数单位),
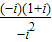
∴z=2+
=2+
=2+1-i=3-i,
∴|z|=
=
,
故答案为:
.
点评:本题考查复数的模的定义,两个复数代数形式的乘除法,虚数单位i的幂运算性质,两个复数相除,分子和分母同时除以分母的共轭复数,本题是一个基础题.
解答:解:∵复数z满足(z-2)i=1+i(i为虚数单位),
∴z=2+
=2+1-i=3-i,
∴|z|=
故答案为:
点评:本题考查复数的模的定义,两个复数代数形式的乘除法,虚数单位i的幂运算性质,两个复数相除,分子和分母同时除以分母的共轭复数,本题是一个基础题.
练习册系列答案
相关题目