题目内容
数列{an}的前n项和记为Sn,已知a1=1,an+1=
Sn(n=1,2,3,…),
证明:(Ⅰ)数列{
}是等比数列;
(Ⅱ)Sn+1=4an。
证明:(Ⅰ)数列{
(Ⅱ)Sn+1=4an。
证明:(Ⅰ)由a1=1,an+1=
Sn(n=1,2,3,…)知a2=
S1=3a1,
,
∴
,
又an+1=Sn+1-Sn(n=1,2,3,…),
则Sn+1-Sn=
Sn(n=1,2,3,…),
∴nSn+1=2(n+1)Sn,
(n=1,2,3,…),
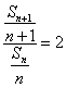
故数列{
}是首项为1,公比为2的等比数列。
(Ⅱ)由(Ⅰ)知,
,
于是Sn+1=4(n+1)·
=4an(n≥2),
又a2=3S1=3,
则S2=a1+a2=4=4a1,
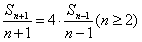
因此对于任意正整数n≥1都有Sn+1=4an。
∴
又an+1=Sn+1-Sn(n=1,2,3,…),
则Sn+1-Sn=
∴nSn+1=2(n+1)Sn,
故数列{
(Ⅱ)由(Ⅰ)知,
于是Sn+1=4(n+1)·
又a2=3S1=3,
则S2=a1+a2=4=4a1,
因此对于任意正整数n≥1都有Sn+1=4an。
练习册系列答案
相关题目