题目内容
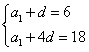
已知数列{an}是等差数列,a2=6,a5=18,数列{bn}的前n项和是Tn,且Tn+
bn=1,
(1)求数列{an}的通项公式;
(2)求证数列{bn}是等比数列;
(3)记cn=an·bn,求证:cn+1≤cn。
(1)求数列{an}的通项公式;
(2)求证数列{bn}是等比数列;
(3)记cn=an·bn,求证:cn+1≤cn。
解:(1)由已知
,解得
,
∴
。
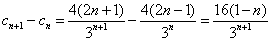
(2)由于
, ①
令n=1,得
, 解得
,
当n≥2时,
,②
①-②得
,
∴
,
又
,
∴
,
∴数列{bn}是以
为首项,
为公比的等比数列。
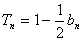
(3)由(2)可得
,
,
,
∵n≥1,故
,
∴
。
∴
(2)由于
令n=1,得
当n≥2时,
①-②得
∴
又
∴
∴数列{bn}是以
(3)由(2)可得
∵n≥1,故
∴
练习册系列答案
相关题目