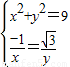
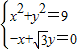
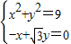
题目内容
已知(1)若
(2)若
【答案】分析:(1)设
,由|
,
,
,知
,由此能求出
.
(2)设
,由
,
,
∥
,知
,由此能求出
.
解答:解:(1)设
,
∵
,
,
,
∴
,
解得
,或
,
∴
=(
,
),或
=(-
,-
).
(2):(1)设
,
∵
,
,
∥
,
∴
,
解得
,或
,
∴
,或
.
点评:本题考查平面向量的应用,是基础题.解题时要认真审题,仔细解答.
(2)设
解答:解:(1)设
∵
∴
解得
∴
(2):(1)设
∵
∴
解得
∴
点评:本题考查平面向量的应用,是基础题.解题时要认真审题,仔细解答.
练习册系列答案
相关题目