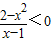
题目内容
解不等式:
【答案】分析:将原不等式移项可得
,通分后可化为
,分解后可根据实数的性质转化为整式不等式
,进而根据标根法(穿针引线法)得到不等式的解集.
解答:解:不等式:
可化为

即
即
即
即
解得:-
<x<1或x>
故原不等式的解集为(-
,1)∪(
,+∞)
点评:本题考查的知识点是分式不等式的解法,解分式不等式,就是根据实数的性质,将其转化为整式不等式.
解答:解:不等式:
即
即
即
即
解得:-
故原不等式的解集为(-
点评:本题考查的知识点是分式不等式的解法,解分式不等式,就是根据实数的性质,将其转化为整式不等式.
练习册系列答案
相关题目