搜索
题目内容
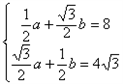
已知函数f(x)=asinx+bcosx,且
,
,
(1)求实数a,b的值;
(2)求函数f(x)的最大值。
试题答案
相关练习册答案
解:(1)由
,
得:
,
解得:a=4,
;
(2)f(x)=4sinx+4
,
∴f(x)的最大值为8,当且仅当
时取得。
练习册系列答案
中考达标学案系列答案
黑皮系列分层强化训练系列答案
全品新阅读系列答案
150加50篇英语完形填空与阅读理解系列答案
黄冈经典阅读系列答案
文言文课外阅读特训系列答案
轻松阅读训练系列答案
南大教辅初中英语任务型阅读与首字母填空系列答案
初中英语听力与阅读系列答案
领航英语阅读理解与完形填空系列答案
相关题目
已知函数f(x)=
a-
x
2
x
+lnx (a∈R , x∈[
1
2
, 2])
(1)当
a∈[-2,
1
4
)
时,求f(x)的最大值;
(2)设g(x)=[f(x)-lnx]•x
2
,k是g(x)图象上不同两点的连线的斜率,否存在实数a,使得k≤1恒成立?若存在,求a的取值范围;若不存在,请说明理由.
(2009•海淀区二模)已知函数f(x)=a-2
x
的图象过原点,则不等式
f(x)>
3
4
的解集为
(-∞,-2)
(-∞,-2)
.
已知函数f(x)=a
|x|
的图象经过点(1,3),解不等式
f(
2
x
)>3
.
已知函数f(x)=a•2
x
+b•3
x
,其中常数a,b满足a•b≠0
(1)若a•b>0,判断函数f(x)的单调性;
(2)若a=-3b,求f(x+1)>f(x)时的x的取值范围.
已知函数f(x)=a-2
|x|
+1(a≠0),定义函数F(x)=
f(x) , x>0
-f(x) , x<0
给出下列命题:①F(x)=|f(x)|; ②函数F(x)是奇函数;③当a<0时,若mn<0,m+n>0,总有F(m)+F(n)<0成立,其中所有正确命题的序号是
.
关 闭
试题分类
高中
数学
英语
物理
化学
生物
地理
初中
数学
英语
物理
化学
生物
地理
小学
数学
英语
其他
阅读理解答案
已回答习题
未回答习题
题目汇总
试卷汇总
练习册解析答案