题目内容
已知正项数列{an}中,
.用数学归纳法证明:
.
证明:当n=1时,
,a1<a2,
所以n=1时,不等式成立.
假设n=k(k∈N*)时,ak<ak+1成立,
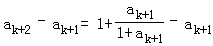
则n=k+1时,
=

=
=
>0;
即ak+2﹣ak+1>0,
所以n=k+1时,不等式也成立.
综上所述,不等式
成立.
所以n=1时,不等式成立.
假设n=k(k∈N*)时,ak<ak+1成立,
则n=k+1时,
=
=
=
即ak+2﹣ak+1>0,
所以n=k+1时,不等式也成立.
综上所述,不等式
练习册系列答案
相关题目