题目内容
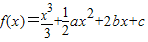
已知函数A.
B.(-∞,
C.
D.
【答案】分析:先根据导函数的两个根的分布建立a、b的约束条件,而
可看作点P(1,2)与阴影部分内一点(a,b)连线的斜率,由此问题转化为线性规划求范围问题,然后利用线性规划的方法求出目标函数的取值范围即可.
解答:
解:∵函数 
∴f′(x)=x2+ax+2b=0的两个根为x1,x2,
∵x1,x2分别在区间(0,1)与(1,2)内
∴
⇒
画出区域如图,
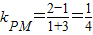
而
可看作点P(1,2)与阴影部分内一点(a,b)连线的斜率,如图绿色线即为符合条件的直线的边界,
M,N两个点为边界处的点,
当连线过M(-3,1)时,
,
当连线过N(-1,0)时,
,
由图知
∈
.
故选C.
点评:本题主要考查了利用导数研究函数的极值,以及利用线性规划的知识解题,属于基础题.
解答:
∴f′(x)=x2+ax+2b=0的两个根为x1,x2,
∵x1,x2分别在区间(0,1)与(1,2)内
∴
画出区域如图,
而
M,N两个点为边界处的点,
当连线过M(-3,1)时,
当连线过N(-1,0)时,
由图知
故选C.
点评:本题主要考查了利用导数研究函数的极值,以及利用线性规划的知识解题,属于基础题.
练习册系列答案
相关题目