题目内容
在等差数列{an}中,Sn为其前n项和(n∈N*),且a3=5,S3=9.(Ⅰ)求数列{an}的通项公式;
(Ⅱ)设
【答案】分析:(Ⅰ)依题意,解方程组
可求得a1与d,从而可求等差数列{an}的通项公式;
(Ⅱ)利用裂项法可求得bn=
(
-
),从而可求数列{bn}的前n项和Tn.
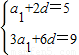
解答:解:(Ⅰ)由已知条件得
…(2分)
解得a1=1,d=2,…(4分)
∴an=2n-1.…(6分)
(Ⅱ)由(Ⅰ)知,an=2n-1,
∴bn=
=
=
(
-
),…(9分)
∴Tn=b1+b2+…+bn=
[(1-
)+(
-
)+…+(
-
)]
=
(1-
)
=
.…(12分)
点评:本题考查等差数列的通项公式,着重考查裂项法求和,求得bn=
(
-
)是关键,属于中档题.
(Ⅱ)利用裂项法可求得bn=
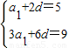
解答:解:(Ⅰ)由已知条件得
解得a1=1,d=2,…(4分)
∴an=2n-1.…(6分)
(Ⅱ)由(Ⅰ)知,an=2n-1,
∴bn=
∴Tn=b1+b2+…+bn=
=
=
点评:本题考查等差数列的通项公式,着重考查裂项法求和,求得bn=
练习册系列答案
相关题目