题目内容
记等差数列{an}的前n项和为Sn,已知a2+a4=6,S4=10,
(Ⅰ)求数列{an}的通项公式;
(Ⅱ)令bn=an·2n(n∈N*),求数列{bn}的前n项和Tn。
(Ⅰ)求数列{an}的通项公式;
(Ⅱ)令bn=an·2n(n∈N*),求数列{bn}的前n项和Tn。
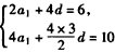
解:(Ⅰ)设等差数列an的公差为d,由a2+a4=6,S4=10,
可得
,
即
,解得:
,
∴an=a1+(n-1)d=1+(n-1)=n,
故所求等差数列an的通项公式为an=n。
(Ⅱ)依题意,
,

,
又
,
两式相减,得

,
∴
。
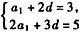
可得
即
∴an=a1+(n-1)d=1+(n-1)=n,
故所求等差数列an的通项公式为an=n。
(Ⅱ)依题意,
又
两式相减,得
∴
练习册系列答案
相关题目
记等差数列{an}的前n项和为Sn,若a1=
,S4=20,则S6=( )
| 1 |
| 2 |
| A、16 | B、24 | C、36 | D、48 |