题目内容

已知函数,函数与函数图像关于轴对称.

(1)当时,求的值域及单调递减区间;

(2)若值.

 

【答案】

(1)当时,的值域为单调递减区间为

(2).

【解析】

试题分析:(1)先将函数的解析式进行化简,化简为,利用计算出的取值范围,再结合正弦曲线确定函数的值域,对于函数在区间上的单调区间的求解,先求出函数上的单调递减区间,然后和定义域取交集即得到函数在区间上的单调递减区间;(2)利用等式计算得出的值,然后利用差角公式将角凑成的形式,结合两角差的正弦公式进行计算,但是在求解的时候计算时,利用同角三角函数的基本关系时需要考虑角的取值范围.

试题解析:(1)

             2分

图像关于轴对称,得

时,得,得   4分

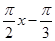
单调递减区间满足,得

,得,又单调递减区间为           7分

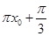
(2)由(1)知

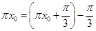
,由于      8分

10分

                            13分

考点:1.诱导公式;2.同角三角函数的基本关系;3.两角差的正弦公式

 

练习册系列答案
相关题目

违法和不良信息举报电话:027-86699610 举报邮箱:58377363@163.com

精英家教网