题目内容

已知函数f(x)=ln(1+x)-x

    (Ⅰ)求f(x)的单调区间;

  (Ⅱ)记f(x)在区间[0,n](n∈N*)上的最小值为bx令an=ln(1+n)-bx.

    (Ⅲ)如果对一切n,不等式恒成立,求实数c的取值范围;

(Ⅳ)求证:

本小题主要考查函数的单调性、最值、不等式、数列等基本知识,考查运用导数研究函数性质的方法,考查分析问题和解决问题的能力.

解法一:

(I)因为f(x)=ln(1+x)-x,所以函数定义域为(-1,+),且 =-1=.

>0得-1<x<0,f(x)的单调递增区间为(-1,0);

<0得x>0,f(x)的单调递增区间为(0,+).

(II)因为f(x)在[0,n]上是减函数,所以bn=f(n)=ln(1+n)-n,

则an=ln(1+n)-bn=ln(1+n)-ln(1+n)+n=n.

(i)

,

因此c<1,即实数c的取值范围是(-,1].

(II)由(i)知

因为[]2

=.

所以- (nN*),

N*)解法二:

(Ⅰ)同解法一.

(Ⅱ)因为f(x)在上是减函数,所以

   则

(i)因为对n∈N*恒成立.所以对n∈N*恒成立.

  则对n∈N*恒成立.

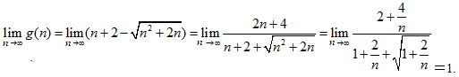
  设 n∈N*,则c<g(n)对n∈N*恒成立.

  考虑

  因为

  所以内是减函数;则当n∈N*时,g(n)随n的增大而减小,

又因为

所以对一切因此c≤1,即实数c的取值范围是(-∞,1].

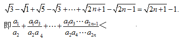
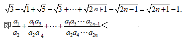
(ⅱ) 由(ⅰ)知

     下面用数学归纳法证明不等式( n∈N*).

     ①当n=1时,左边=,右边=,左边<右边.不等式成立.

     ②假设当n=k时,不等式成立.即

当n=k+1时,

=

即n=k+1时,不等式成立

综合①、②得,不等式成立.

所以

N*).

练习册系列答案
相关题目

违法和不良信息举报电话:027-86699610 举报邮箱:58377363@163.com

精英家教网