题目内容
已知正数
满足
,则行列式
的最小值为 .
【答案】
3
【解析】
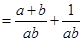
试题分析:首先把行列式化简为普通代数式,![]()
![]()
![]()
,又
,即
,所以
,当且仅当
时等号成立,故最小值为3.
考点:行列式的定义与基本不等式.
练习册系列答案
相关题目
题目内容
已知正数
满足
,则行列式
的最小值为 .
3
【解析】
试题分析:首先把行列式化简为普通代数式,![]()
![]()
![]()
,又
,即
,所以
,当且仅当
时等号成立,故最小值为3.
考点:行列式的定义与基本不等式.