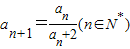
题目内容
已知数列{an}满足:A.
B.
C.
D.
【答案】分析:取倒数,可得{
}是以2为首项,2为公比的等比数列,由此可得结论.
解答:解:∵
∴
=1+
∴
∵a1=1
∴{
}是以2为首项,2为公比的等比数列
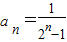
∴
∴
故选C.
点评:本题考查数列递推式,考查数列的通项,取倒数,得到{
}是以2为首项,2为公比的等比数列是关键.
解答:解:∵
∴
∴
∵a1=1
∴{
∴
∴
故选C.
点评:本题考查数列递推式,考查数列的通项,取倒数,得到{
练习册系列答案
相关题目