题目内容
已知两条曲线f(x)=ex,g(x)=lnx,
(Ⅰ)求过曲线f(x)=ex上的点(a,ea)的切线l的方程;
(Ⅱ)若(Ⅰ)中的切线l与曲线g(x)=lnx也相切,求证:a的值在-2<a<-1与1<a<2范围中的一个。
(Ⅰ)求过曲线f(x)=ex上的点(a,ea)的切线l的方程;
(Ⅱ)若(Ⅰ)中的切线l与曲线g(x)=lnx也相切,求证:a的值在-2<a<-1与1<a<2范围中的一个。
解:(Ⅰ)已知f(x)=ex,则f'(x)=ex,
∴曲线f(x)=ex在点(a,ea)处的切线斜率k=ea,
∴所求切线l的方程为y-ea=ea(x-a),即y=eax+e4-aea; ①
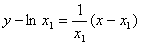
(Ⅱ)切线l与曲线g(x)=lnx相切,设切点为(x1,lnx1),
又g′(x)=
,
同理曲线g(x)=lnx在点(x1,lnx1)处的切线方程为
,
即![]()
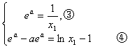
由①②得![]()
由③④得ea-aea=-a-1,⑤
令F(a)=aea-ea-a-1,a∈R,
所以F′(a)=ea+aea-ea-1=aea-1,
当a≤0时,F'(a)<0,又a>0时,F'(a)单调递增,F'(1)>0,
由零根定理知在区间(0,1)之间有一个根α,使F'(a)=0,![]()
其中0<α<1,
,
由a为F(a)=0的一个解,
∴a的值是(-2,-1)与(1,2)范围的一个。
练习册系列答案
相关题目