题目内容
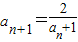
设a1=2,
【答案】分析:先确定{
}是以4为首项,-2为公比的等比数列,求出其通项,即可求得b2011的值.
解答:解:∵
,∴
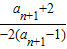
=
∴
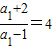
∵a1=2,∴
∴{
}是以4为首项,-2为公比的等比数列
∴
=4×(-2)n-1
∴b2011=|4×(-2)2010|-1=22012-1
故答案为:22012-1
点评:本题考查归纳推理,考查等比数列的定义与通项,确定数列为等比数列是解题的关键.
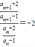
解答:解:∵
∴
∵a1=2,∴
∴{
∴
∴b2011=|4×(-2)2010|-1=22012-1
故答案为:22012-1
点评:本题考查归纳推理,考查等比数列的定义与通项,确定数列为等比数列是解题的关键.
练习册系列答案
相关题目