题目内容
已知等差数列{an}中,a3=-4,a1+a10=2,(1)求数列{an}的通项公式;
(2)若数列{bn}满足an=log3bn,设Tn=b1•b2…bn,当n为何值时,Tn>1.
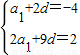
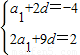
【答案】分析:(1)设数列{an}的公差为d,则
,解方程可求a1,d,代入等差数列的通项公式可求
(2)由(1)及指数与对数的互化关系可得
,根据指数的运算性质可求Tn=b1•b2…bn,=
,代入Tn>1可求n的范围
解答:解:(1)设数列{an}的公差为d,则
,
解之得
,即an=-8+2(n-1)=2n-10
(2)由an=log3bn,可得
则Tn=b1•b2…bn=3-8•3-6…32n-10=
=
=
∵Tn>1.
∴
∴n2-9n>0,
∴n>9,
点评:本题主要考查了利用基本量表示等差数列的项,及指数的基本运算性质的简单应用.
(2)由(1)及指数与对数的互化关系可得
解答:解:(1)设数列{an}的公差为d,则
解之得
(2)由an=log3bn,可得
则Tn=b1•b2…bn=3-8•3-6…32n-10=
∵Tn>1.
∴
∴n2-9n>0,
∴n>9,
点评:本题主要考查了利用基本量表示等差数列的项,及指数的基本运算性质的简单应用.
练习册系列答案
相关题目