题目内容
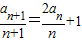
已知数列{an}满足:a1=1,nan+1=2(n十1)an+n(n+1),(n∈N*),(I)若
(II)求数列{an}的通项公式an与前n项和Sn.
【答案】分析:(Ⅰ)利用数列递推式,证明bn+1=2bn,即可证明数列{bn}为等比数列;
(II)利用
,可数列{an}的通项公式an,利用错位相减法可求数列的和.
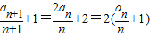
解答:(Ⅰ)证明:∵nan+1=2(n+1)an+n(n+1),∴
,…(2分)
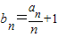
∴
,即bn+1=2bn,
又b1=2,所以{bn}是以2为首项,2为公比的等比数列.…(6分)
(Ⅱ)解:由(Ⅰ)知
,∴
,∴
,…(8分)
∴
=1×2+2×22+3×23+…+n•2n-(1+2+3+…+n)=
.…(10分)
令
,
则
,
两式相减得:
,
.…(12分)
∴
.…(13分)
点评:本题考查数列递推式,考查等比数列的证明,考查数列的通项与求和,正确运用求和方法是关键.
(II)利用
解答:(Ⅰ)证明:∵nan+1=2(n+1)an+n(n+1),∴
∴
又b1=2,所以{bn}是以2为首项,2为公比的等比数列.…(6分)
(Ⅱ)解:由(Ⅰ)知
∴
令
则
两式相减得:
∴
点评:本题考查数列递推式,考查等比数列的证明,考查数列的通项与求和,正确运用求和方法是关键.
练习册系列答案
相关题目