题目内容
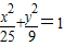
设F1,F2是椭圆A.16
B.18
C.20
D.不确定
【答案】分析:由已知中椭圆的标准方程,可又求出椭圆的a=5,b=3,c=4,进而根据三角形PF1F2的周长|PF1|+|PF2|+|F1+F2|=2(a+c),可得答案.
解答:解:由椭圆
的方程可得
a=5,b=3,c=4
∵F1,F2是椭圆
的两焦点,
P为椭圆上一点,
∴三角形PF1F2的周长为|PF1|+|PF2|+|F1+F2|=2(a+c)=18
故选B
点评:本题考查的知识点是椭圆的简单性质,其中根据椭圆上一点到两焦点的距离和为2a,将三角形PF1F2的周长|PF1|+|PF2|+|F1+F2|转化为2(a+c),是解答的关键.
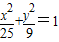
解答:解:由椭圆
a=5,b=3,c=4
∵F1,F2是椭圆
P为椭圆上一点,
∴三角形PF1F2的周长为|PF1|+|PF2|+|F1+F2|=2(a+c)=18
故选B
点评:本题考查的知识点是椭圆的简单性质,其中根据椭圆上一点到两焦点的距离和为2a,将三角形PF1F2的周长|PF1|+|PF2|+|F1+F2|转化为2(a+c),是解答的关键.
练习册系列答案
相关题目