题目内容
在△ABC中,a、b、c分别是角A、B、C的对边,且
。
(Ⅰ)求角B的值;
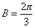
(Ⅱ)若a+c=4,求△ABC面积S的最大值。
(Ⅰ)求角B的值;
(Ⅱ)若a+c=4,求△ABC面积S的最大值。
解:(Ⅰ)由正弦定理,得
,
即
,
∴
,
∵
,
∴
,
从而
,
∵
,
∴
,
又B为三角形的内角,所以
。
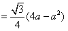
(Ⅱ)
,
由
及
得![]()
![]()
,
又
,
所以当a=2时,S取最大值
。
练习册系列答案
相关题目
在△ABC中,∠A、∠B、∠C所对的边长分别是a、b、c.满足2acosC+ccosA=b.则sinA+sinB的最大值是( )
A、
| ||||
| B、1 | ||||
C、
| ||||
D、
|