题目内容
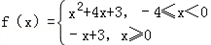
设函数
,若f(﹣4)=f(0),f(﹣2)=﹣1,
(1)求函数f(x)的解析式,
(2)画出函数f(x)的图象,并指出函数的定义域和值域.
(3)解不等式xf(x)<0.
(1)求函数f(x)的解析式,
(2)画出函数f(x)的图象,并指出函数的定义域和值域.
(3)解不等式xf(x)<0.
解:(1)∵f(-4)=f(0),f(-2)=-1,
∴16﹣4b+c=3,4-2b+c=﹣1
解得:b=4,c=3
∴
(2)图象见下所示,
由图象可知:函数的定义域:[﹣4,+∞)值域:(﹣∞,3].(3)
或
.
-4≤x<-3或-1<x<0或x>3
∴不等式xf(x)<0解集为{x|﹣4≤x<-3或-1<x<0或x>3}

∴16﹣4b+c=3,4-2b+c=﹣1
解得:b=4,c=3
∴
(2)图象见下所示,
由图象可知:函数的定义域:[﹣4,+∞)值域:(﹣∞,3].(3)
∴不等式xf(x)<0解集为{x|﹣4≤x<-3或-1<x<0或x>3}
练习册系列答案
相关题目