题目内容
已知函数f(x)=x+
+b(x≠0),其中a,b∈R.
(Ⅰ)若曲线y=f(x)在点P(2,f(2))处的切线方程为y=3x+1,求函数f(x)的解析式;
(Ⅱ)讨论函数f(x)的单调性;
(Ⅲ)若对于任意的a∈[
,2],不等式f(x)≤10在[
,1]上恒成立,求b的取值范围.
| a |
| x |
(Ⅰ)若曲线y=f(x)在点P(2,f(2))处的切线方程为y=3x+1,求函数f(x)的解析式;
(Ⅱ)讨论函数f(x)的单调性;
(Ⅲ)若对于任意的a∈[
| 1 |
| 2 |
| 1 |
| 4 |
(Ⅰ)f′(x)=1-
,由导数的几何意义得f'(2)=3,于是a=-8.
由切点P(2,f(2))在直线y=3x+1上可得-2+b=7,解得b=9.
所以函数f(x)的解析式为f(x)=x-
+9.
(Ⅱ)f′(x)=1-
.
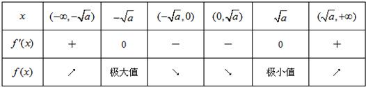
当a≤0时,显然f'(x)>0(x≠0).这时f(x)在(-∞,0),(0,+∞)上内是增函数.
当a>0时,令f'(x)=0,解得x=±
.
当x变化时,f'(x),f(x)的变化情况如下表:

所以f(x)在(-∞,-
),(
,+∞)内是增函数,在(-
,0),(0,+∞)内是减函数.
(Ⅲ)由(Ⅱ)知,f(x)在[
,1]上的最大值为f(
)与f(1)的较大者,对于任意的a∈[
,2],不等式f(x)≤10在[
,1]上恒成立,当且仅当
,
即
,对任意的a∈[
,2]成立.
从而得b≤
,所以满足条件的b的取值范围是(-∞,
].
| a |
| x2 |
由切点P(2,f(2))在直线y=3x+1上可得-2+b=7,解得b=9.
所以函数f(x)的解析式为f(x)=x-
| 8 |
| x |
(Ⅱ)f′(x)=1-
| a |
| x2 |
当a≤0时,显然f'(x)>0(x≠0).这时f(x)在(-∞,0),(0,+∞)上内是增函数.
当a>0时,令f'(x)=0,解得x=±
| a |
当x变化时,f'(x),f(x)的变化情况如下表:
所以f(x)在(-∞,-
| a |
| a |
| a |
(Ⅲ)由(Ⅱ)知,f(x)在[
| 1 |
| 4 |
| 1 |
| 4 |
| 1 |
| 2 |
| 1 |
| 4 |
|
即
|
| 1 |
| 2 |
从而得b≤
| 7 |
| 4 |
| 7 |
| 4 |
练习册系列答案
相关题目