题目内容
已知等差数列{an}的公差d大于0,a2,a5是方程x2-12x+27=0的两根,数列{bn}的前n项和为Tn,且Tn=1-
bn(n∈N*)。
(1)求数列{an},{bn}的通项公式;
(2)记c=anbn,求数列{cn}的前n项和Sn。
(1)求数列{an},{bn}的通项公式;
(2)记c=anbn,求数列{cn}的前n项和Sn。
解:(1)
,
∴
,
∴
,
,
∴
,
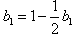
在
中,令n=1,
,得
;
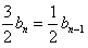
当n≥2时,
,
∴
,
∴
,
∴
。
(2)
,
∴
,
,
∴
,
=
,
∴
。
∴
∴
∴
在
当n≥2时,
∴
∴
∴
(2)
∴
∴
=
∴
练习册系列答案
相关题目