题目内容
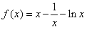
已知函数f(x)=a(x-
)-lnx,
(Ⅰ)若a=1,求曲线y=f(x)在点(1,f(1))处的切线方程;
(Ⅱ)若函数f(x)在其定义域内为增函数,求a的取值范围;
(Ⅲ)在(Ⅱ)的条件下,设函数
,若在[1,e]上至少存在一点x0,使得f(x0)≥g(x0)成立,求实数a的取值范围。
(Ⅰ)若a=1,求曲线y=f(x)在点(1,f(1))处的切线方程;
(Ⅱ)若函数f(x)在其定义域内为增函数,求a的取值范围;
(Ⅲ)在(Ⅱ)的条件下,设函数
解:(Ⅰ)当a=1时,函数
,
f(1)=1-1-ln1=0,
f′(x)=
,
曲线f(x)在点(1,f(1))处的切线的斜率为f′(1)=1+1-1=1,
从而曲线f(x)在点(1,f(1))处的切线方程为y-0=x-1,即y=x-1;
(Ⅱ)f′(x)=
,
要使f(x)在定义域(0,+∞)内是增函数,只需f′(x)≥0在(0,+∞)内恒成立,
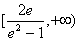
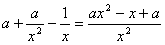
即ax2-x+a≥0,得
恒成立,
由于
,
∴
,∴
,
∴f(x)在(0,+∞)内为增函数,实数a的取值范围是
;
(Ⅲ)∵在[1,e]上是减函数,
∴x=e时,g(x)min=1;x=1时,g(x)max=e,即 g(x)∈[1,e],
f′(x)=
,令h(x)=ax2-x+a,
当
时,由(Ⅱ)知f(x)在[1,e]上是增函数,f(1)=0<1,
又g(x)在[1,e]上是减函数,
故只需f(x)max≥g(x)min,x∈[1,e],
而
,g(x)min=1,
即
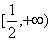
,解得
,
所以实数a的取值范围是
。
f(1)=1-1-ln1=0,
f′(x)=
曲线f(x)在点(1,f(1))处的切线的斜率为f′(1)=1+1-1=1,
从而曲线f(x)在点(1,f(1))处的切线方程为y-0=x-1,即y=x-1;
(Ⅱ)f′(x)=
要使f(x)在定义域(0,+∞)内是增函数,只需f′(x)≥0在(0,+∞)内恒成立,
即ax2-x+a≥0,得
由于
∴
∴f(x)在(0,+∞)内为增函数,实数a的取值范围是
(Ⅲ)∵在[1,e]上是减函数,
∴x=e时,g(x)min=1;x=1时,g(x)max=e,即 g(x)∈[1,e],
f′(x)=
当
又g(x)在[1,e]上是减函数,
故只需f(x)max≥g(x)min,x∈[1,e],
而
即
所以实数a的取值范围是
练习册系列答案
相关题目