题目内容
已知数列{an}的前n项和为Sn,且Sn=4an-3(n∈N*).(Ⅰ)证明:数列{an}是等比数列;
(Ⅱ)若数列{bn}满足bn+1=an+bn(n∈N*),且b1=2,求数列{bn}的通项公式.
【答案】分析:(Ⅰ)要证明数列为等比数列,只需证明数列的后一项比前一项为常数即可,先根据当n≥2时,an=Sn-Sn-1,求出数列{an}的递推关系式,再求
,得道常数,即可证明.
(Ⅱ)先根据(Ⅰ)求数列{an}的递推公式,代入bn+1=an+bn(n∈N*),可得数列{bn}的递推公式,再用迭代法,即可求出数列{bn}的通项公式.
解答:解:(Ⅰ)证明:由Sn=4an-3,n=1时,a1=4a1-3,解得
.
因为Sn=4an-3,则Sn-1=4an-1-3(n≥2),
所以当n≥2时,an=Sn-Sn-1=4an-4an-1,
整理得
.又a1=1≠0,
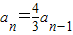
所以{an}是首项为1,公比为
的等比数列.
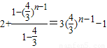
(Ⅱ)解:因为
,
由bn+1=an+bn(n∈N*),得
.
可得bn=b1+(b2-b′1)+(b3-b2)+…+(bn-bn-1)
=
,(n≥2).
当n=1时上式也满足条件.
所以数列{bn}的通项公式为
.
点评:本题考查了利用数列前n项和与通项关系求通项公式,以及迭代法求通项公式.
(Ⅱ)先根据(Ⅰ)求数列{an}的递推公式,代入bn+1=an+bn(n∈N*),可得数列{bn}的递推公式,再用迭代法,即可求出数列{bn}的通项公式.
解答:解:(Ⅰ)证明:由Sn=4an-3,n=1时,a1=4a1-3,解得
因为Sn=4an-3,则Sn-1=4an-1-3(n≥2),
所以当n≥2时,an=Sn-Sn-1=4an-4an-1,
整理得
所以{an}是首项为1,公比为
(Ⅱ)解:因为
由bn+1=an+bn(n∈N*),得
可得bn=b1+(b2-b′1)+(b3-b2)+…+(bn-bn-1)
=
当n=1时上式也满足条件.
所以数列{bn}的通项公式为
点评:本题考查了利用数列前n项和与通项关系求通项公式,以及迭代法求通项公式.
练习册系列答案
相关题目
已知数列{an}的前n项和Sn=an2+bn(a、b∈R),且S25=100,则a12+a14等于( )
| A、16 | B、8 | C、4 | D、不确定 |