题目内容
已知数列{an}满足:1•a1+2•a2+3•a3+…n•an=n(1)求{an}的通项公式;
(2)若
【答案】分析:(1)由题设知,当n≥2时,nan=
-
=1,由此能求出{an}的通项公式.
(2)由
,知
,由此利用错位相减法能够求出{bn}的前n项和Sn.
解答:解:(1)∵数列{an}满足:1•a1+2•a2+3•a3+…n•an=n,
∴当n≥2时,nan=
-
=1,
∴
,
当n=1时,a1=1成立,
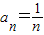
∴
.
(2)∵
,
∴
①
②
由①-②得,
=
,
∴
.
点评:本题考查数列的通项公式和前n项和公式的应用.解题时要认真审题,仔细解答,注意错位相减求和法的合理运用.
(2)由
解答:解:(1)∵数列{an}满足:1•a1+2•a2+3•a3+…n•an=n,
∴当n≥2时,nan=
∴
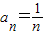
当n=1时,a1=1成立,
∴
(2)∵
∴
由①-②得,
=
∴
点评:本题考查数列的通项公式和前n项和公式的应用.解题时要认真审题,仔细解答,注意错位相减求和法的合理运用.
练习册系列答案
相关题目