题目内容

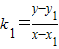
已知椭圆=1(a>b>0)的离心率是,过椭圆上一点M作直线MA,MB交椭圆于A,B两点,且斜率分别为k1,k2,若点A,B关于原点对称,则k1•k2的值为   
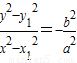
【答案】分析:设M(x,y),A(x1,y1),B(-x1,-y1),,再由点差法可知k1•k2===
解答:解:∵椭圆=1(a>b>0)的离心率是

设M(x,y),A(x1,y1),B(-x1,-y1),

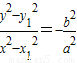
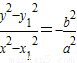
把M和A分别代入椭圆=1,并相减,整理得=
∴k1•k2===
点评:本题考查椭圆的性质和应用,解题时要注意挖掘隐含条件,注意点差法的运用.
练习册系列答案
相关题目

违法和不良信息举报电话:027-86699610 举报邮箱:58377363@163.com

精英家教网