题目内容
设各项均为正数的数列{an}满足a1=2,
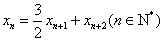
(n∈N*),
(Ⅰ)若a2=
,求a3,a4,并猜想a2cos的值(不需证明);
(Ⅱ)记bn=a3a2…an(n∈N*),若bn≥2
对n≥2恒成立,求a2的值及数列{bn}的通项公式。
(Ⅰ)若a2=
(Ⅱ)记bn=a3a2…an(n∈N*),若bn≥2
解:(Ⅰ)因
,
故
,
由此有
,
故猜想{an}的通项为
。
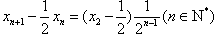
(Ⅱ)令
,Sn表示xn的前n项和,则
,
由题设知x1=1且
,①
,②
因②式对n=2成立,有
,
又x1=1得
,③
下用反证法证明:
,
假设
,
由①得
,
因此数列
是首项为
,公比为
的等比数列,
故
,④
又由①知
,
因此
是首项为
,公比为-2的等比数列,
所以
,⑤
由④-⑤得
,⑥
对n求和得
,⑦
由题设知
,且由反证假设
,
有
,
从而
,
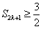
即不等式
对k∈N*恒成立,但这是不可能的,矛盾;
因此x2≤
,结合③式知x2=
,
因此a2=2*2=
,
将x2=
代入⑦式得Sn=2-
(n∈N*),
所以
(n∈N*)。
故
由此有
故猜想{an}的通项为
(Ⅱ)令
由题设知x1=1且
因②式对n=2成立,有
又x1=1得
下用反证法证明:
假设
由①得
因此数列
故
又由①知
因此
所以
由④-⑤得
对n求和得
由题设知
有
从而
即不等式
因此x2≤
因此a2=2*2=
将x2=
所以
练习册系列答案
相关题目