题目内容
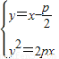
如图,斜率为1的直线过抛物线y2=2px(p>0)的焦点,与抛物线交于两点A、B,将直线AB按向量(Ⅰ) 若|AB|=8,求抛物线方程.
(Ⅱ)求S△ABM的最大值.
(Ⅲ)求
【答案】分析:(Ⅰ)利用韦达定理及抛物线的定义,计算弦长,即可求得抛物线的标准方程;
(Ⅱ)由(Ⅰ)知|AB|=4p,故求S△ABM的最大值,即求M到AB距离的最大值;
(Ⅲ)利用向量的数量积公式,结合配方法,即可求
的最小值.
解答:解:(Ⅰ)由条件知
,则
,消去x得:
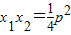
①,则x1+x2=3p,
由抛物线定义|AB|=x1+x2+p=4p,
又因为|AB|=8,即p=2,则抛物线方程为y2=4x.---------------------------(3分)
(Ⅱ)由(Ⅰ)知|AB|=4p和
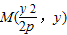
,设
,
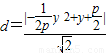
则M到AB距离:
,因M,O在直线AB的同侧,所以
,
则
,即
,
由①知
所以
,则当y=p时,
,
则
.---------------------------------------(8分)
(Ⅲ)设
,A(x1,y1),B(x2,y2),
则
,
,
即
由①知x1+x2=3p,
,
,y1+y2=2p,则
,
即
,当x=p时,
的最小值为
.
(其它方法酌情给分)---------------------------------------------------(12分)
点评:本题考查抛物线的弦长计算,考查三角形面积,考查向量知识,解题的关键是正确运用抛物线的定义,属于中档题.
(Ⅱ)由(Ⅰ)知|AB|=4p,故求S△ABM的最大值,即求M到AB距离的最大值;
(Ⅲ)利用向量的数量积公式,结合配方法,即可求
解答:解:(Ⅰ)由条件知
由抛物线定义|AB|=x1+x2+p=4p,
又因为|AB|=8,即p=2,则抛物线方程为y2=4x.---------------------------(3分)
(Ⅱ)由(Ⅰ)知|AB|=4p和
则M到AB距离:
则
由①知
所以
则
(Ⅲ)设
则
即
由①知x1+x2=3p,
即
(其它方法酌情给分)---------------------------------------------------(12分)
点评:本题考查抛物线的弦长计算,考查三角形面积,考查向量知识,解题的关键是正确运用抛物线的定义,属于中档题.
练习册系列答案
相关题目