题目内容
下列命题中,正确的个数有( )(1)抛物线y=2x2的准线方程为
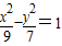
(2)双曲线
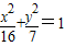
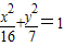
(3)椭圆
(4)双曲线
A.1
B.2
C.3
D.4
【答案】分析:(1)抛物线y=2x2,即x2=
y,准线方程为
;
(2)双曲线
的渐近线方程为y=±
x;
(3)椭圆
中a=2,则长轴长为4,;
(4)分别求出双曲线
的离心率,椭圆
的离心率为
=
,即可求得结论.
解答:解:(1)抛物线y=2x2,即x2=
y,准线方程为
,故命题正确;
(2)双曲线
的渐近线方程为y=±
x,故命题不正确;
(3)椭圆
中a=2,则长轴长为4,故命题不正确;
(4)双曲线
的离心率为
=
,椭圆
的离心率为
=
,所以它们的积为1,故命题正确.
综上,正确命题的个数是2个
故选B.
点评:本题考查圆锥曲线的性质,考查学生的计算能力,属于基础题.
(2)双曲线
(3)椭圆
(4)分别求出双曲线
解答:解:(1)抛物线y=2x2,即x2=
(2)双曲线
(3)椭圆
(4)双曲线
综上,正确命题的个数是2个
故选B.
点评:本题考查圆锥曲线的性质,考查学生的计算能力,属于基础题.
练习册系列答案
相关题目
下列命题中,正确的是( )
| A、过点P(x1,y1)的直线的方程都可以表示为y-y1=k(x-x1) | ||||
| B、经过两个不同点P1(x1,y1)、P2(x2,y2)的直线的方程可表示为(y-y1)(x2-x1)=(y2-y1)(x-x1) | ||||
C、不经过原点的直线的方程可以表示为
| ||||
| D、经过点P(0,b)的直线的方程都可以表示为y=kx+b |