题目内容
函数(Ⅰ)求函数f(x)的解析式;
(Ⅱ)判断并证明f(x)在(-1,1)的单调性;
(Ⅲ)求满足f(t-1)+f(t)<0的t的范围.
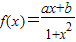
【答案】分析:(Ⅰ)若奇函数在x=0处有定义,则f(0)=0,代入即可得b,再由
代入即可得a值;
(Ⅱ)利用单调性定义即可证明;
(Ⅲ)利用函数的单调性和奇偶性将不等式中的f脱去,等价转化为关于t的不等式组,解之即可.
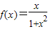
解答:解:(Ⅰ)∵函数
是定义在(-1,1)的奇函数
∴f(0)=0,∴b=0
∵
.
∴
=
,∴a=1
∴
;
(Ⅱ)函数f(x)在(-1,1)上为增函数,证明如下
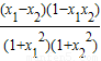
在区间(-1,1)上任取x1,x2,令-1<x1<x2<1,
∴f(x1)-f(x2)=
-
=
;
∵-1<x1<x2<1
∴x1-x2<0,1-x1x2>0,1+x12>0,1+x22>0
∴f(x1)-f(x2)<0,即f(x1)<f(x2)
故函数f(x)在区间(-1,1)上是增函数;
(Ⅲ)∵f(t-1)+f(t)<0
∴f(t-1)<-f(t)
∴f(t-1)<f(-t)
∵函数f(x)在区间(-1,1)上是增函数
∴
∴0<t<
.
点评:本题考查函数奇偶性与单调性的性质应用,着重考查学生理解函数奇偶性与用定义证明单调性及解方程,解不等式组的能力,属于中档题.
(Ⅱ)利用单调性定义即可证明;
(Ⅲ)利用函数的单调性和奇偶性将不等式中的f脱去,等价转化为关于t的不等式组,解之即可.
解答:解:(Ⅰ)∵函数
∴f(0)=0,∴b=0
∵
∴
∴
(Ⅱ)函数f(x)在(-1,1)上为增函数,证明如下
在区间(-1,1)上任取x1,x2,令-1<x1<x2<1,
∴f(x1)-f(x2)=
∵-1<x1<x2<1
∴x1-x2<0,1-x1x2>0,1+x12>0,1+x22>0
∴f(x1)-f(x2)<0,即f(x1)<f(x2)
故函数f(x)在区间(-1,1)上是增函数;
(Ⅲ)∵f(t-1)+f(t)<0
∴f(t-1)<-f(t)
∴f(t-1)<f(-t)
∵函数f(x)在区间(-1,1)上是增函数
∴
∴0<t<
点评:本题考查函数奇偶性与单调性的性质应用,着重考查学生理解函数奇偶性与用定义证明单调性及解方程,解不等式组的能力,属于中档题.
练习册系列答案
相关题目