题目内容
已知数列{an}的前n项和为Sn,且满足
an+2Sn•Sn﹣1=0(n≥2),a1=
.
(1)求证:{
}是等差数列;
(2)求an表达式;
(3)若bn=2(1﹣n)an(n≥2),求证:b22+b32+…+bn2<1.
考点:
数列递推式;等差关系的确定;数列的求和.
专题:
计算题;证明题.
分析:
(1)根据题中已知条件化简可得出Sn与Sn﹣1的关系,再求出S1 的值即可证明{
}是等差数列;
(2)根据(1)中求得的Sn与Sn﹣1的关系先求出数列{
}的通项公式,然后分别讨论n=1和n≥2时an的表达式;
(3)根据(2)中求得的an的表达式即可求出bn的表达式,然后将bn的表达式代入b22+b32+…+bn2中,利用缩放法即可证明b22+b32+…+bn2<1.
解答:
解(1)∵﹣an=2SnSn﹣1,
∴﹣Sn+Sn﹣1=2SnSn﹣1(n≥2)
Sn≠0,∴
﹣
=2,又
=
=2,
∴{
}是以2为首项,公差为2的等差数列.(2)由(1)
=2+(n﹣1)2=2n,
∴Sn=![]()
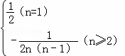
当n≥2时,an=Sn﹣Sn﹣1=﹣![]()
n=1时,a1=S1=
,
∴an=
;(3)由(2)知bn=2(1﹣n)an=![]()
∴b22+b32+…+bn2=
+
+…+
<
+
+…+![]()
=(1﹣
)+(
﹣
)+…+(
﹣
)=1﹣
<1.
点评:
本题主要考查了数列的递推公式以及等差数列的基本性质,考查了学生的计算能力和对数列的综合掌握,解题时注意整体思想和转化思想的运用,属于中档题.
练习册系列答案
相关题目
已知数列{an}的前n项和Sn=an2+bn(a、b∈R),且S25=100,则a12+a14等于( )
| A、16 | B、8 | C、4 | D、不确定 |