题目内容
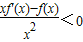
设f(x)是定义在R上的奇函数,且f(2)=0,当x>0时,有A.(-2,0)∪(2,+∞)
B.(-2,0)∪(0,2)
C.(-∞,-2)∪(2,+∞)
D.(-∞,-2)∪(0,2)
【答案】分析:首先根据商函数求导法则,把
化为[
]′<0;然后利用导函数的正负性,可判断函数y=
在(0,+∞)内单调递减;再由f(2)=0,易得f(x)在(0,+∞)内的正负性;最后结合奇函数的图象特征,可得f(x)在(-∞,0)内的正负性.则x2f(x)>0?f(x)>0的解集即可求得.
解答:解:因为当x>0时,有
恒成立,即[
]′<0恒成立,
所以
在(0,+∞)内单调递减.
因为f(2)=0,
所以在(0,2)内恒有f(x)>0;在(2,+∞)内恒有f(x)<0.
又因为f(x)是定义在R上的奇函数,
所以在(-∞,-2)内恒有f(x)>0;在(-2,0)内恒有f(x)<0.
又不等式x2f(x)>0的解集,即不等式f(x)>0的解集.
所以答案为(-∞,-2)∪(0,2).
故选D.
点评:本题主要考查函数求导法则及函数单调性与导数的关系,同时考查了奇偶函数的图象特征.
解答:解:因为当x>0时,有
所以
因为f(2)=0,
所以在(0,2)内恒有f(x)>0;在(2,+∞)内恒有f(x)<0.
又因为f(x)是定义在R上的奇函数,
所以在(-∞,-2)内恒有f(x)>0;在(-2,0)内恒有f(x)<0.
又不等式x2f(x)>0的解集,即不等式f(x)>0的解集.
所以答案为(-∞,-2)∪(0,2).
故选D.
点评:本题主要考查函数求导法则及函数单调性与导数的关系,同时考查了奇偶函数的图象特征.
练习册系列答案
相关题目
设f(x)是定义在R上的奇函数,且对任意实数x,恒有f(x+2)=-f(x).当x∈[0,2]时,f(x)=2x-x2+a(a是常数).则x∈[2,4]时的解析式为( )
| A、f(x)=-x2+6x-8 | B、f(x)=x2-10x+24 | C、f(x)=x2-6x+8 | D、f(x)=x2-6x+8+a |