题目内容

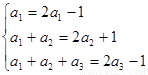
已知数列的前项和满足

(Ⅰ)求数列的前三项

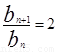
(Ⅱ)设,求证:数列为等比数列,并指出的通项公式。

 

【答案】

(Ⅰ) ;(Ⅱ)

【解析】

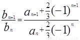
试题分析:(Ⅰ) 求数列的前三项,在中分别令即可求出;(Ⅱ)数列为等比数列,只需证明等于一个与无关的常数,由,首先求出数列的通项公式,或递推式,由,这是已知,求,可利用来求,即当,可得,由,把代入可得,从而可证,求的通项公式,由是首项为,公比为2的等比数列,可写出的通项公式,从而可得数列的通项公式.

试题解析:(Ⅰ)在中分别令n=1,2,3得

(2分)          解得   (4分)

⑵由,n≥1得,n≥2

两式想减得,即,    (6分)

∴an+(-1)n=2an-1+(-1)n-2(-1)n=2an-1+(-1)n-1

=2[an-1+(-1)n-1](n≥2)     (9分)

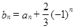
即bn=2bn-1(n≥2),b1=a1-=

是首项为,公比为2的等比数列.      (10分)

∴bn=×2n-1= an+(-1)n

               (12分)

考点:等比数列的判断,求通项公式.

 

练习册系列答案
相关题目

违法和不良信息举报电话:027-86699610 举报邮箱:58377363@163.com

精英家教网