题目内容
函数f(x)=lnx+(1)a=0时,求f(x)最小值;
(2)若f(x)在[2,+∞)是单调增函数,求a取值范围.
【答案】分析:(1)求函数的导数,利用导数求函数的最小值.(2)要使f(x)在[2,+∞)是单调增函数,则f'(x)≥0恒成立.
解答:解:(1)a=0时,
,
当0<x<1时f'(x)<0,此时函数f(x)递减.
当x>1时,f'(x)>0,此时函数f(x)递增.
∴f(x)在(0,1)单减,在(1,+∞)单增.
∴x=1时f(x)有最小值1 …(6分)
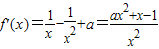
(2)
,
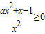
∵f(x)在[2,+∞)为增函数,∴f'(x)≥0恒成立,
则
x≥2恒成立,∴
最大值 …(9分)
令
,
则x≥2时,则
,
∴a≥0…(13分)
点评:本题主要考查利用导数研究函数的性质,要求熟练掌握导数和函数单调性,最值之间的关系,考查学生的运算能力.
解答:解:(1)a=0时,
当0<x<1时f'(x)<0,此时函数f(x)递减.
当x>1时,f'(x)>0,此时函数f(x)递增.
∴f(x)在(0,1)单减,在(1,+∞)单增.
∴x=1时f(x)有最小值1 …(6分)
(2)
∵f(x)在[2,+∞)为增函数,∴f'(x)≥0恒成立,
则
令
则x≥2时,则
∴a≥0…(13分)
点评:本题主要考查利用导数研究函数的性质,要求熟练掌握导数和函数单调性,最值之间的关系,考查学生的运算能力.
练习册系列答案
相关题目