题目内容
已知数列{an}满足(1)求证:数列{an}的奇数项,偶数项均构成等差数列;
(2)求{an}的通项公式;
(3)设
【答案】分析:(1)由
①,得
②,两式相减得一递推式,根据等差数列的定义可得结论;
(2)由a1=3,易求a2=5,根据等差数列可得a2n-1,a2n,通过变形整理可得an;
(3)利用错位相减法即可求得Sn.
解答:(1)由
①,
得
②,
②-①得
,
所以数列{an}的奇数项,偶数项均构成等差数列,且公差都为4.
(2)由a1=3,a2+a1=8得a2=5,
故a2n-1=3+4(n-1)=4n-1,a2n=5+4(n-1)=4n+1,
由于a2n-1=4n-1=2(2n-1)+1,a2n=4n+1=2(2n)+1,所以an=2n+1;
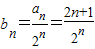
(3)
,
所以Sn=b1+b2+…+bn=
①,
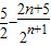
=
②,
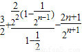
①-②得,
=
=
=
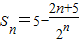
,
所以
;
点评:本题考查由数列递推式求数列通项公式、利用错位相减法对数列求和,考查学生解决问题的能力.
(2)由a1=3,易求a2=5,根据等差数列可得a2n-1,a2n,通过变形整理可得an;
(3)利用错位相减法即可求得Sn.
解答:(1)由
得
②-①得
所以数列{an}的奇数项,偶数项均构成等差数列,且公差都为4.
(2)由a1=3,a2+a1=8得a2=5,
故a2n-1=3+4(n-1)=4n-1,a2n=5+4(n-1)=4n+1,
由于a2n-1=4n-1=2(2n-1)+1,a2n=4n+1=2(2n)+1,所以an=2n+1;
(3)
所以Sn=b1+b2+…+bn=
①-②得,
所以
点评:本题考查由数列递推式求数列通项公式、利用错位相减法对数列求和,考查学生解决问题的能力.
练习册系列答案
相关题目