题目内容
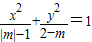
已知方程
【答案】分析:方程表示焦点在y轴上的椭圆,所以y2的分母要大于x2的分母,并且这两个分母都是正数,由此建立关于m的不等式,解之即得m的取值范围.
解答:解:∵方程
表示焦点在y轴上的椭圆,
∴2-m>|m|-1>0,解之得:1<m<
或m<-1
故答案为:{m|1<m<
或m<-1}
点评:本题给出含有字母参数的椭圆方程,在已知焦点位置的情况下求参数的取值范围,着重考查了椭圆的标准方程和基本概念,属于基础题.
解答:解:∵方程
∴2-m>|m|-1>0,解之得:1<m<
故答案为:{m|1<m<
点评:本题给出含有字母参数的椭圆方程,在已知焦点位置的情况下求参数的取值范围,着重考查了椭圆的标准方程和基本概念,属于基础题.
练习册系列答案
相关题目