题目内容
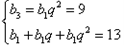
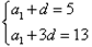
已知等差数列{an}的公差大于零,且a2、a4是方程x2-18x+65=0的两个根;各项均为正数的等比数列{bn}的前n项和为Sn,且满足b3=a3,S3=13,
(Ⅰ)求数列{an}、{bn}的通项公式;
(Ⅱ)若数列{Cn}满足
,求数列{Cn}的前n项和Tn。
(Ⅰ)求数列{an}、{bn}的通项公式;
(Ⅱ)若数列{Cn}满足
解:(Ⅰ)设
的公差为d,
的公比为q,
则由
解得
或
,
因为d>0,
所以
,
则
,
,
则
,
解得
,
所以
;
因为
,
因为q>0,
解得
,
所以
。
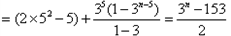
(Ⅱ)当
时,
;
当
时,

;
所以
。
则由
因为d>0,
所以
则
则
解得
所以
因为
因为q>0,
解得
所以
(Ⅱ)当
当
所以
练习册系列答案
相关题目