题目内容
已知函数f(x)=lnx+2x(1)判断f(x)的单调性并用定义证明;
(2)设
【答案】分析:(1)求函数的定义域,然后利用函数单调性的定义进行证明.(2)利用函数的单调性求实数k的最大值.
解答:解:(1)增函数 …(1分)
因为函数的定义域为(0,+∞),
设x1>x2>0…(2分)
则f(x1)-f(x2)=lnx1-lnx2+2(x1-x2)>0,
即f(x1)>f(x2),
∴f(x)在(0,+∞)是增函数 …(4分)
(2)由(1)知f(x)在(0,+∞)是增函数
∴f(x1)<f(1)=2…(6分)
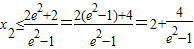
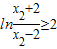
令g(x2)≥2即
即
得
∵
…(8分)
∴kmax=2…(10分)
点评:本题主要考查函数单调性的判断,利用定义法是判断函数单调性中比较常用的方法.
解答:解:(1)增函数 …(1分)
因为函数的定义域为(0,+∞),
设x1>x2>0…(2分)
则f(x1)-f(x2)=lnx1-lnx2+2(x1-x2)>0,
即f(x1)>f(x2),
∴f(x)在(0,+∞)是增函数 …(4分)
(2)由(1)知f(x)在(0,+∞)是增函数
∴f(x1)<f(1)=2…(6分)
令g(x2)≥2即
得
∵
∴kmax=2…(10分)
点评:本题主要考查函数单调性的判断,利用定义法是判断函数单调性中比较常用的方法.
练习册系列答案
相关题目