题目内容
椭圆(1)若∠AF1F2=60°,且点A在以F1F2为直径的圆上,求椭圆的离心率;
(2)若a=
【答案】分析:(1)利用圆的性质、含60°角的直角三角形的性质、椭圆的定义及其离心率计算公式即可得出;
(2)利用已知即可得出椭圆的标准方程及其焦点,分类讨论直线AB的斜率,当斜率存在时与椭圆方程联立得到根与系数的关系,利用向量运算及相等即可得出.
解答:解:(1)∵点A在以F1F2为直径的圆上,∴AF1⊥AF2,
∵∠AF1F2=60°,∴|F1F2|=2|AF1|,
,
∴2a=|AF1|+|AF2|,2c=|F1F2|,
∴离心率
=
.
(2)∵
,∴c=1,点F1(-1,0),F2(1,0).
∴椭圆的方程为
.
①若AB垂直于x轴,
,
∴
,∴
.
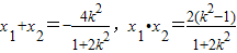
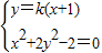
②若AB与x轴不垂直,设直线的斜率为k,则直线AB的方程为y=k(x+1),
由
,得(1+2k2)x2+4k2x+2(k2-1)=0,
∵△=8k2+8>0,∴方程有两个不相等的实数根.
设A(x1,y1),B(x2,y2),
,
=
=
=
,
∵
,
∴
.
综合①,②得,
•
,
∴当直线l垂直于x轴时,
取得最大值
,当直线l与x轴重合时,
取得最小值-1.
点评:熟练掌握分类讨论思想方法、椭圆的标准方程及其性质、直线与椭圆相交问题转化为方程联立得到根与系数的关系、向量的运算相等等是解题的关键.
(2)利用已知即可得出椭圆的标准方程及其焦点,分类讨论直线AB的斜率,当斜率存在时与椭圆方程联立得到根与系数的关系,利用向量运算及相等即可得出.
解答:解:(1)∵点A在以F1F2为直径的圆上,∴AF1⊥AF2,
∵∠AF1F2=60°,∴|F1F2|=2|AF1|,
∴2a=|AF1|+|AF2|,2c=|F1F2|,
∴离心率
(2)∵
∴椭圆的方程为
①若AB垂直于x轴,
∴
②若AB与x轴不垂直,设直线的斜率为k,则直线AB的方程为y=k(x+1),
由
∵△=8k2+8>0,∴方程有两个不相等的实数根.
设A(x1,y1),B(x2,y2),
=
∵
∴
综合①,②得,
∴当直线l垂直于x轴时,
点评:熟练掌握分类讨论思想方法、椭圆的标准方程及其性质、直线与椭圆相交问题转化为方程联立得到根与系数的关系、向量的运算相等等是解题的关键.
练习册系列答案
相关题目