题目内容
已知函数f(x)=sin2ωx+
sinωxsin(ωx+
)(ω>0)的最小正周期为π,
(Ⅰ)求f(x)的单调增区间并写出f(x)图象的对称中心的坐标;
(Ⅱ)求函数f(x)在区间
上的最大值与最小值。
(Ⅰ)求f(x)的单调增区间并写出f(x)图象的对称中心的坐标;
(Ⅱ)求函数f(x)在区间
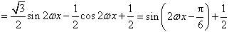
解:(Ⅰ)
,
因为函数f(x)的最小正周期为π,且ω>0,
所以
,解得ω=1,
∴
,
所以f(x)的单调增区间为
(k∈Z),
f(x)图象的对称中心的坐标为
(k∈Z);
(Ⅱ)由(Ⅰ)得
,
因为
,
所以
,
因此
,
即f(x)的最大值为
,最小值为0。
因为函数f(x)的最小正周期为π,且ω>0,
所以
∴
所以f(x)的单调增区间为
f(x)图象的对称中心的坐标为
(Ⅱ)由(Ⅰ)得
因为
所以
因此
即f(x)的最大值为
练习册系列答案
相关题目