题目内容
已知等比数列{an}满足a1+a6=11,且a3a4=
。
(1)求数列{an}的通项an;
(2)如果至少存在一个自然数m,恰使
,
,am+1+
这三个数依次成等差数列,问这样的等比数列{an}是否存在?若存在,求出通项公式;若不存在,请说明理由.
(1)求数列{an}的通项an;
(2)如果至少存在一个自然数m,恰使
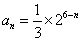
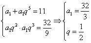
解:(1)由题意,得
或
,
∴
或
。
(2)对
若存在题设要求的m,
则
,
∴(2m)2-7·2m+8=0,
∴2m=8,m=3;
对
,若存在题设要求的m,同理有(26-m)2-11·26-m-8=0,
而Δ=112+16×8不是完全平方数,
故此时所需的m不存在,
综上所述,满足条件的等比数列存在,且有
。
∴
(2)对
则
∴(2m)2-7·2m+8=0,
∴2m=8,m=3;
对
而Δ=112+16×8不是完全平方数,
故此时所需的m不存在,
综上所述,满足条件的等比数列存在,且有
练习册系列答案
相关题目