题目内容
已知函数f(x)=x+
+lnx(a∈R),
(Ⅰ)求函数f(x)的单调区间与极值点;
(Ⅱ)若对
,函数f(x)满足对
都有f(x)<m成立,求实数m的取值范围(其中e是自然对数的底数)。
(Ⅰ)求函数f(x)的单调区间与极值点;
(Ⅱ)若对
解:(Ⅰ)
,
①a≤0时,f′(x)≥0,f(x)在(0,+∞)上单调递增,此时函数 f(x)无极值点;
②a>0,令
(
舍去),
当0<x<x1时,f′(x)<0,f(x)在(0,x1)上单调递减;
当x>x1时,f′(x)>0,f(x)在(x1,+∞)上单调递增;
即f(x)在
上单调递减,在
上单调递增,
此时函数f(x)仅有极小值点
。
(Ⅱ)函数f(x)满足:
,对
都有f(x)<m成立,
即f(x)在[1,e]上的最大值小于m,
由(Ⅰ)知,
,f(x)在
上单调递减,在
上单调递增,
所以,
对
恒成立
,
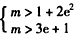
又1+2e2-(3e+l)=(2e-3)e>0
1+2e2>3e+l,
故实数m的取值范围是(1+2e2,+∞)。
①a≤0时,f′(x)≥0,f(x)在(0,+∞)上单调递增,此时函数 f(x)无极值点;
②a>0,令
当0<x<x1时,f′(x)<0,f(x)在(0,x1)上单调递减;
当x>x1时,f′(x)>0,f(x)在(x1,+∞)上单调递增;
即f(x)在
此时函数f(x)仅有极小值点
(Ⅱ)函数f(x)满足:
即f(x)在[1,e]上的最大值小于m,
由(Ⅰ)知,
所以,
又1+2e2-(3e+l)=(2e-3)e>0
故实数m的取值范围是(1+2e2,+∞)。
练习册系列答案
相关题目