题目内容
已知函数f(x)=(1)求m的值;
(2)判断f(x)在(0,+∞)上的单调性,并给予证明.
【答案】分析:(1)欲求m的值,只须根据f(4)=-
的值,当x=4时代入f(x)解一个指数方程即可;
(2)利用单调性的定义证明即可.任取0<x1<x2,只要证明f(x1)>f(x2),即可.
解答:解:(1)∵f(4)=-
,
∴
-4m=-
.∴m=1.
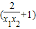
(2)f(x)=
-x在(0,+∞)上单调递减,证明如下:
任取0<x1<x2,则
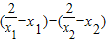
f(x1)-f(x2)=
=(x2-x1)
.
∵0<x1<x2,
∴x2-x1>0,
+1>0.
∴f(x1)-f(x2)>0.
∴f(x1)>f(x2),
即f(x)=
-x在(0,+∞)上单调递减.
点评:本题主要考查了函数单调性的判断与证明及指数方程的解法.属于基础题.
(2)利用单调性的定义证明即可.任取0<x1<x2,只要证明f(x1)>f(x2),即可.
解答:解:(1)∵f(4)=-
∴
(2)f(x)=
任取0<x1<x2,则
f(x1)-f(x2)=
∵0<x1<x2,
∴x2-x1>0,
∴f(x1)-f(x2)>0.
∴f(x1)>f(x2),
即f(x)=
点评:本题主要考查了函数单调性的判断与证明及指数方程的解法.属于基础题.
练习册系列答案
相关题目
已知函数f(x)=x2-bx的图象在点A(1,f(1))处的切线l与直线3x-y+2=0平行,若数列{
}的前n项和为Sn,则S2010的值为( )
| 1 |
| f(n) |
A、
| ||
B、
| ||
C、
| ||
D、
|