题目内容
已知函数f(x)=x2-ax-aln(x-1)(a∈R)。
(1)当a=1时,求函数f(x)的最值;
(2)求函数f(x)的单调区间;
(3)试说明是否存在实数a(a≥1)使y= f(x)的图象与y=
+ln2无公共点。
(1)当a=1时,求函数f(x)的最值;
(2)求函数f(x)的单调区间;
(3)试说明是否存在实数a(a≥1)使y= f(x)的图象与y=
解:(1)函数f(x)=x2-ax-aln(x-1)(a∈R)的定义域是(1,+∞),
当a=1时,
,
所以,f (x)在
为减函数,在
为增函数,
所以,函数f (x)的最小值为
。
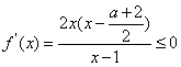
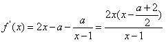
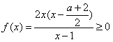
(2)
,
若a≤0时,则
在(1,+∞)恒成立,所以f(x)的增区间为(1,+∞);
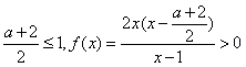
若a>0,则
故当
时,
,
当
时,
,
所以a>0时,f(x)的减区间为
,f(x)的增区间为
。
(3)a≥1时,由(1)知f(x)在(1,+∞)的最小值为
,
令
在 [1,+∞)上单调递减,
所以,
,
则
,
因此,存在实数a(a≥1)使f(x)的最小值大于
,
故存在实数a(a≥1)使y=f(x)的图象与y=
无公共点。
当a=1时,
所以,f (x)在
所以,函数f (x)的最小值为
(2)
若a≤0时,则
若a>0,则
当
所以a>0时,f(x)的减区间为
(3)a≥1时,由(1)知f(x)在(1,+∞)的最小值为
令
所以,
则
因此,存在实数a(a≥1)使f(x)的最小值大于
故存在实数a(a≥1)使y=f(x)的图象与y=
练习册系列答案
相关题目