题目内容

    已知函数,其中是实数。设为该函数图象上的两点,且

(Ⅰ)指出函数的单调区间;

(Ⅱ)若函数的图象在点处的切线互相垂直,且,求的最小值;

(Ⅲ)若函数的图象在点处的切线重合,求的取值范围。

(1)函数f(x)的单调性递减区间为(-∞,-1),单调递增区间为[-1,0),{0,+∞)

(2)由导数的几何定义可知点A处的切线斜率为点B处的切线斜率为

故当点A处的切线与点B处的切线垂直时,有=-1

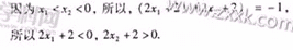
当x<0时,对函数f(x)求导得=2x+2

练习册系列答案
相关题目

违法和不良信息举报电话:027-86699610 举报邮箱:58377363@163.com

精英家教网