题目内容
已知f(x)=ln(x+1).
(1)若
,求g(x)在[0,2]上的最大值与最小值;
(2)当x>0时,求证
;
(3)当n∈N+且n≥2时,求证:
.
(1)若
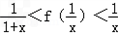
(2)当x>0时,求证
(3)当n∈N+且n≥2时,求证:
(1)解:
,
=
∴g(x)在[0,1]上单调减,在[1,2]上单调增
∵g(0)=0,g(1)=
,g(2)=﹣1+ln3
∴g(x)在[0,2]上的最大值为﹣1+ln3,最小值为0
(2)证明:函数的定义域为(﹣1,+∞)
构造函数h(x)=f(x)﹣x,∴h′(x)=
∴函数在(﹣1,0)上单调增,在(0,+∞)上单调减
∴在x=0处,函数取得极大值,也是最大值
∴h(x)≤h(0)=0
∴f(x)﹣x≤0
∵x>0,∴
构造函数φ(x)=f(x)﹣
,∴φ′(x)= 
∴函数在(﹣1,0)上单调减,在(0,+∞)上单调增
∴在x=0处,函数取得极小,也是最小值
∴φ(x)≥φ(0)=0
∴f(x)﹣
≥0
∵x>0,∴
∴
(3)证明:∵f(x)=ln(x+1),
∴f(n)﹣f(n﹣1)=f(
)
由(2)知:
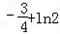
∴
∴
,
,
,…,
叠加可得:
∴g(x)在[0,1]上单调减,在[1,2]上单调增
∵g(0)=0,g(1)=
∴g(x)在[0,2]上的最大值为﹣1+ln3,最小值为0
(2)证明:函数的定义域为(﹣1,+∞)
构造函数h(x)=f(x)﹣x,∴h′(x)=
∴函数在(﹣1,0)上单调增,在(0,+∞)上单调减
∴在x=0处,函数取得极大值,也是最大值
∴h(x)≤h(0)=0
∴f(x)﹣x≤0
∵x>0,∴
构造函数φ(x)=f(x)﹣
∴函数在(﹣1,0)上单调减,在(0,+∞)上单调增
∴在x=0处,函数取得极小,也是最小值
∴φ(x)≥φ(0)=0
∴f(x)﹣
∵x>0,∴
∴
(3)证明:∵f(x)=ln(x+1),
∴f(n)﹣f(n﹣1)=f(
由(2)知:
∴
∴
叠加可得:
练习册系列答案
相关题目